Ev> Şirket haberleri> Asenkron motorun hızı ile akımı arasındaki ilişki nedir?

Asenkron motorun hızı ile akımı arasındaki ilişki nedir?

2026,02,27
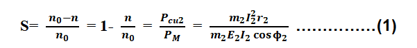
Bir motorun çalışması sırasında performans parametrelerinde meydana gelen değişiklikler, motor kullanıcıları için her zaman büyük bir endişe kaynağıdır. Verimlilik, güç faktörü, hız, akım gibi parametrelerdeki değişiklikler motorun çalışma kalitesini doğrudan etkiler. Nominal gerilim ve nominal frekans, bir şebeke frekans motorunun normal çalışmasının temelini oluşturur. Çıkış gücü değiştiğinde motor hızı da aynı anda değişir. Bu nedenle motor davranışını niteliksel ve niceliksel yöntemleri birleştirerek analiz etmek için Denklem (1)'i sunuyoruz.
Motor yüksüz olarak çalıştığında çıkış gücü sıfıra yakındır ve buna karşılık gelen rotor akımı I2​ de neredeyse sıfırdır. Denklem (1)'e göre motor kayması akım I2​ ile orantılıdır, dolayısıyla yüksüz durumdaki kayma neredeyse sıfırdır. Bu, motorun gerçek hızının neredeyse senkron hıza eşit olduğu anlamına gelir.
Motor yükü arttıkça motor hızı bir miktar azalır. Rotor elektromotor kuvveti artar ve rotor akımı I2​ de yük torkunu dengelemek için daha büyük bir elektromanyetik tork üretmek üzere artar. Başka bir deyişle, çıkış gücü arttıkça motor kayması artar ve buna karşılık gelen gerçek hız azalır.
Genel olarak yüksek motor verimliliği sağlamak için rotor bakır kaybı nispeten küçük tutulur. Nominal çalışma koşulları altında, asenkron motorun kayması tipik olarak yaklaşık %2, en fazla ise %5'tir. Bu nedenle motorun nominal hızı senkron hızın %95'inden düşük değildir. Örneğin, senkron hızı 3000 rpm olan 2 kutuplu bir motorun nominal hızı 2850 rpm'den düşük değildir. Yüksek kaymalı motorlar özel bir durumdur ve ayrıca ele alınmalıdır.
Bir eğri ile tanımlanırsa, motorun yüksüz durumdan tam yüke kadar olan hız karakteristiği hafif aşağı doğru eğimli bir eğridir.
Motor akımıyla ilgili olarak: yüksüz durumda stator akımının neredeyse tamamı mıknatıslama akımından oluşur. Motor yükü arttıkça motor hızı düşer, rotor akımı artar ve rotor akımının ürettiği manyetomotor kuvvetine karşı koymak için stator akımı ve manyetomotor kuvveti de artar. Stator akımı neredeyse çıkış gücüyle doğru orantılı olarak artar.
Contal ABD

Yazar:

Mr. Holton Jin

Phone/WhatsApp:

+86 18780145623

Popüler Ürünler
Ayrıca sevebilirsiniz
İlgili Kategoriler

Bu tedarikçi için e-posta

Konu:
E-posta:
İleti:

Mesaj 20-8000 karakter arasında olmalıdır

İlgili kişi

Talep Gönder

We will contact you immediately

Fill in more information so that we can get in touch with you faster

Privacy statement: Your privacy is very important to Us. Our company promises not to disclose your personal information to any external company with out your explicit permission.

Gönder